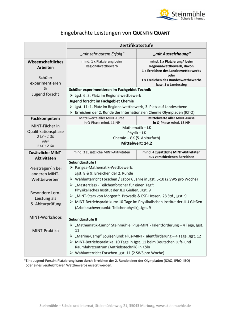
„Wir sind alle mächtig stolz“: Rückschau auf den Mega-Erfolg der Geschwister Sacher
Na, haben Sie sie entdeckt, in der vordersten Reihe und am linken Rand? – Nach dem Jahreswechsel werfen wir noch einmal einen Blick zurück auf den wohl größten naturwissenschaftlichen Erfolg der Unter- und Mittelstufe unserer Schule in 2025: Die beiden Steinmühlen-Geschwister Felix und Sophie Sacher haben sich Ende November bei der World Robot Olympiad (WRO) in Singapur nicht nur mit der Weltspitze gemessen, sondern sind sogar mit Pokal nach Hause gereist: Als Team mit dem Namen JustUs errangen sie die Bronze-Medaille! Die internationale Aufmerksamkeit galt ihrem IceBear-Projekt (wir berichteten https://steinmuehle.de/blog/2025/07/07/felix-und-sophie-sacher-qualifizieren-sich-mit-robotik-projekt-fuer-weltfinale-in-singapur-2/), und treffenderweise hatte der intelligente Gefährte der Schüler seinen Namen kurz vor dem Wettbewerb entsprechend angepasst: AIceBear – gesteuert von künstlicher Intelligenz.
Größtes WRO-Finale aller Zeiten
In der letzten Woche waren 12 deutsche Teams beim Weltfinale der World Robot Olympiad in Singapur dabei. Insgesamt waren 594 Teams aus 91 Ländern vor Ort – es war das bisher größte WRO-Weltfinale aller Zeiten.
Die Konkurrenz in den verschiedenen Altersklassen und Kategorien war dementsprechend groß. Dabei gab es einige vordere Platzierungen, und besonders freut uns die Bronzemedaille des Teams JustUs in der Kategorie Future Innovators Junior. In dieser Altersklasse errangen Sophie und Felix von 58 Teams den dritten Platz. „Es war eine großartige Erfahrung“, berichten die beiden.
Technik und Teamgeist verbinden über Grenzen hinweg
Das Weltfinale 2025 in Singapur zeigte erneut, wie sehr Technik und Teamgeist über Grenzen hinweg verbinden. Die World Robot Olympiad bietet jungen Menschen die Chance, ihre Ideen Wirklichkeit werden zu lassen – mit Begeisterung, Kreativität und technischem Können.
Zahlreiche Freundschaften geschlossen
„Wir sind beide überglücklich“, fahren die Geschwister fort und berichten: „Das International Final waren vier Tage voller Abenteuer: Nach einem Delegationsausflug mit Tempel, Straßen und einem gemeinsamen Besuch eines Hawker Centers (einer traditionellen Streetfood-Halle) begannen drei aufregende Wettbewerbstage. In den drei Alterskategorien der Future Innovators konnte man dabei viele zum Teil sehr länderspezifische Lösungen zum diesjährigen Motto „The Future of Robots“ sehen, die im Zusammenhang mit den UN-Zielen für nachhaltige Entwicklung stehen. Beim Team JustUs gab es immer viel Publikum, da AIceBear nicht nur für die Jury spannend war sondern auch für Besucher, andere Teams und Medienvertreter. Es entstanden Freundschaften mit anderen Teams, und ganz bald möchten wir als Team JustUs die neu gewonnenen Freunde in Cambridge, der Türkei und Singapur besuchen“.
AIceBear kann nun auch komponieren
Auch Jurys, die zur Bewertung anderer Teams eingeteilt waren, wollten AIceBear sehen, viele nutzten die neue Funktion, die Felix und Sophie im Hotelzimmer unmittelbar vor dem Wettbewerb hinzugefügt hatten: AIceBear kann nun neben seinen vielen anderen Funktionen auch singen und kurze Lieder komponieren, ganz nach dem Wunsch seines Nutzers im Hinblick auf Thema (z.B. Singapur) und Stil; so kann er zusätzlich für Entspannung und eine gute Stimmung sorgen.
Berichte in Zeitungen und im Fernsehen
Auch das Medieninteresse war groß. Dass AIceBear neben Englisch die Besucher auch auf den anderen Landessprachen Singapurs begrüßte, war in Zeitungen in Singapur, Malaysia, Quatar und China zu lesen. Auch ein chinesisches Fernsehteam interviewte das Team JustUs, das am Ende mit der Bronzemedaille auf dem Treppchen landete.
Großes Lob der Schulleitung
„Meine ganz persönlichen Glückwünsche zu diesem herausragenden Erfolg!“ kommentierte Steinmühlen-Schulleiter Björn Gemmer nach der Rückkehr des Teams. „Platz 3 weltweit ist einfach unglaublich und doch so verdient, weil der Beitrag multiperspektiv, kreativ und ethisch uneingeschränkt positiv zu bewerten ist. Wir sind alle mächtig stolz auf das, was Sophie und Felix erreicht haben.“ Björn Gemmer und Geschäftsführer Dirk Konnertz, ebenfalls hoch begeistert von dem unglaublichen Resultat der Wettbewerbsteilnahme, hatten sich im Vorfeld dafür stark gemacht, dass der eine oder andere Sponsor gefunden werden konnte, um wenigstens einen kleinen Teil der Kosten für die Reise der Familie nach Singapur und den Transport des kostbaren Equipments aufzufangen.
Die folgenden Fotos geben einen Bilderrückblick auf die Reise der Geschwister Sacher nach Singapur, auf den Wettbewerb und auf ihre mitgenommenen Eindrücke:
(Heinm)



































































